Coterminal Angles Degree And Radian Worksheet

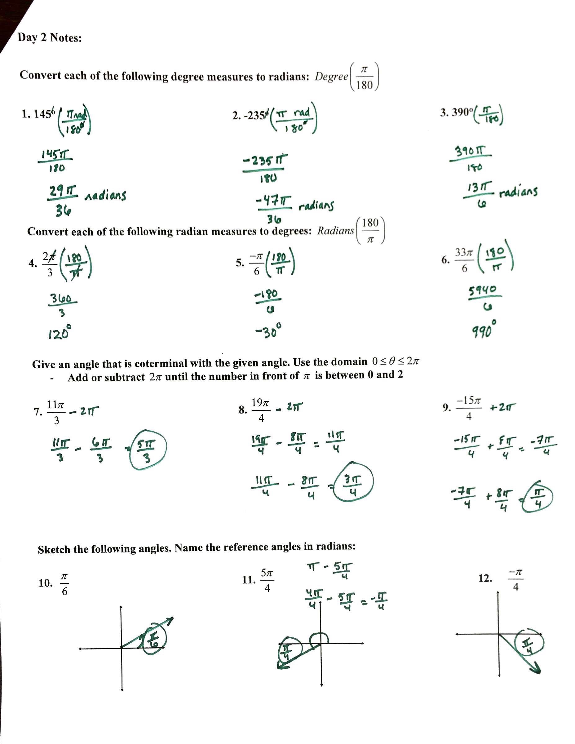
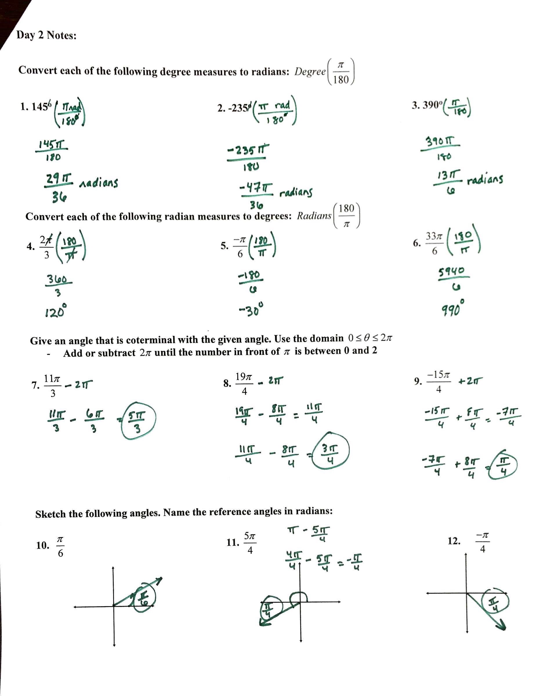
Understanding coterminal angles in both degrees and radians is an important concept in trigonometry. Coterminal angles are angles that have the same initial and terminal sides but differ by a multiple of 360 degrees (or 2π radians). This concept is crucial in various trigonometric calculations and conversions.

One way to practice and test your understanding of coterminal angles is through a worksheet. A coterminal angles degree and radian worksheet typically consists of several problems where you are given an angle in either degrees or radians and asked to find coterminal angles that differ by a multiple of 360 degrees or 2π radians.

Worksheet 8 Radian And Degree Measures For Angles Draw An Worksheet 8 Radian And Degree Measures For Angles Draw An (www.yumpu.com)

When working on a coterminal angles worksheet, it is important to remember that there are infinitely many coterminal angles for any given angle. To find coterminal angles, you can add or subtract 360 degrees (or 2π radians) to the given angle multiple times until you reach a new angle within the desired range.

It is also helpful to convert between degrees and radians when working on coterminal angle problems. Remember that 360 degrees is equivalent to 2π radians, so you can easily convert between the two units of measurement. This conversion is crucial for accurately determining coterminal angles in both degrees and radians.

Additionally, practicing with coterminal angles worksheets can help reinforce your understanding of trigonometric concepts such as periodicity and angle measurements. By working through various problems and finding coterminal angles, you can improve your problem-solving skills and gain confidence in your trigonometry abilities.

Overall, coterminal angles degree and radian worksheets are valuable tools for practicing and mastering trigonometric concepts related to angle measurements. By working through these worksheets and practicing finding coterminal angles, you can enhance your understanding of trigonometry and improve your problem-solving skills in this area of mathematics.


Download and Print Coterminal Angles Degree And Radian Worksheet Listed below

Radian And Degree Measures For Angles Worksheet Answers Radian And Degree Measures For Angles Worksheet Answers (www.angleworksheets.com)

Radian And Degree Measures For Angles Worksheet Answers Radian And Degree Measures For Angles Worksheet Answers (www.angleworksheets.com)

50 Radians And Degrees Worksheets For 11th Year On Quizizz Free 50 Radians And Degrees Worksheets For 11th Year On Quizizz Free (worksheets.clipart-library.com)

50 Radians And Degrees Worksheets On Quizizz Free Printable 50 Radians And Degrees Worksheets On Quizizz Free Printable (worksheets.clipart-library.com)

Worksheet 8 Radian And Degree Measures For Angles Draw An Worksheet 8 Radian And Degree Measures For Angles Draw An (worksheets.clipart-library.com)

Coterminal Angles Degree And Radian Worksheet

Printable templates are the perfect solution for anyone aiming to stay on track, boost productivity, and inject personality to their work. They’re super easy to customize and can serve a variety of needs whether you’re planning your week, throwing a party, or managing a project. With their elegant formats and versatile layouts, these printables help turn daily routines into something more fun and far more productive. No matter what you’re working on, there’s a template out there that can make it easier, smarter, and more uniquely yours.

Our goal is to make your life a little easier and a lot more beautiful—one page at a time. From minimalist planners to colorful and practical formats, we’re constantly working on new ideas to suit a wide range of needs. So why not explore the possibilities and let the right template bring clarity, creativity, and control into your day?

We appreciate your visit to our Coterminal Angles Degree And Radian Worksheet. Whether you’re structuring your day-to-day tasks, planning a special event, or just seeking inspiring resources to execute your plans, we hope our templates have offered the support you need.

Be sure to bookmark this page or subscribe to our newsletter so you never miss a latest template. And if you have feedback or template ideas you’d love to see, we’d be happy to hear from you! Until next time, print with joy and may your days be beautifully structured and gracefully managed.