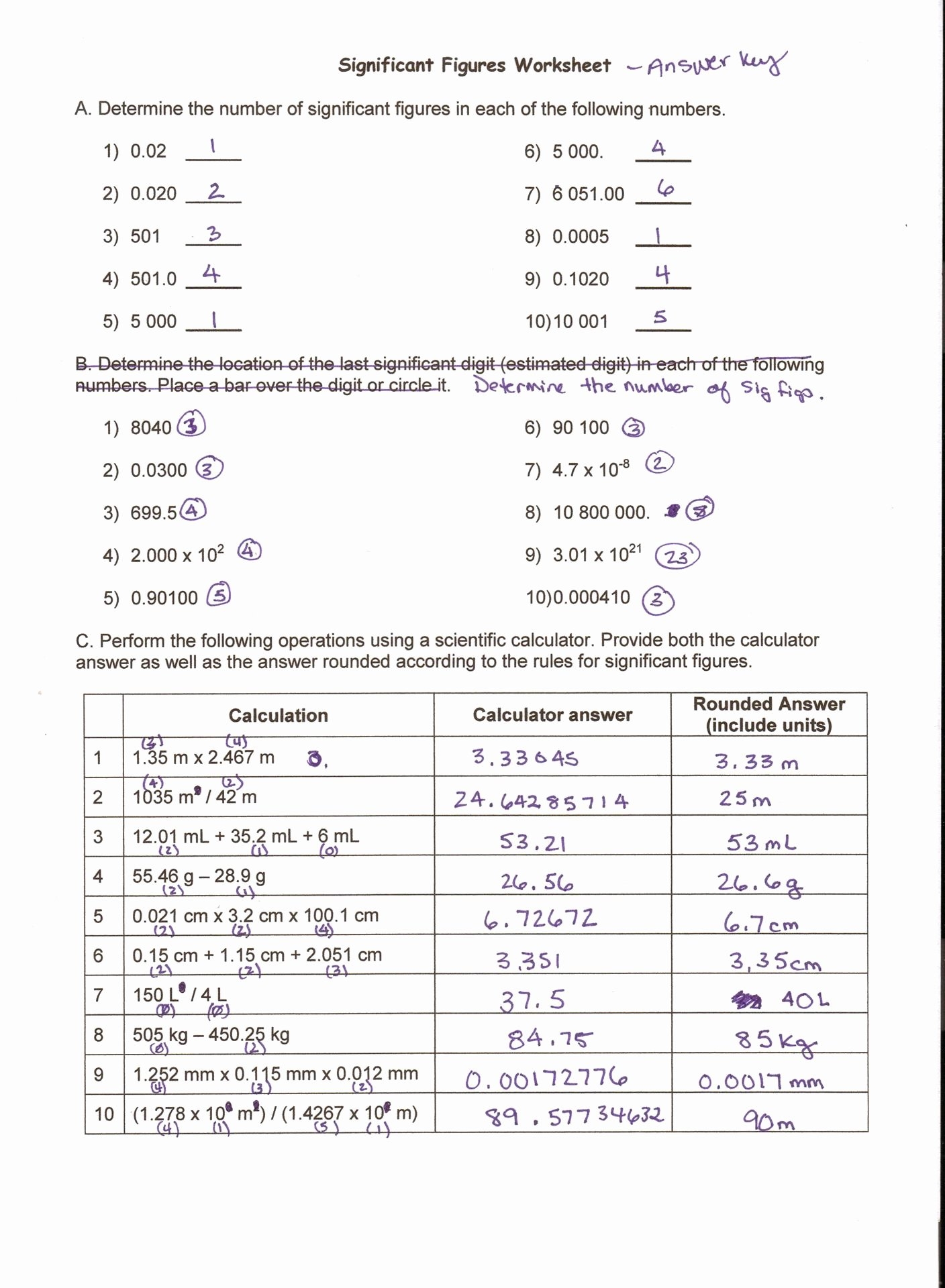
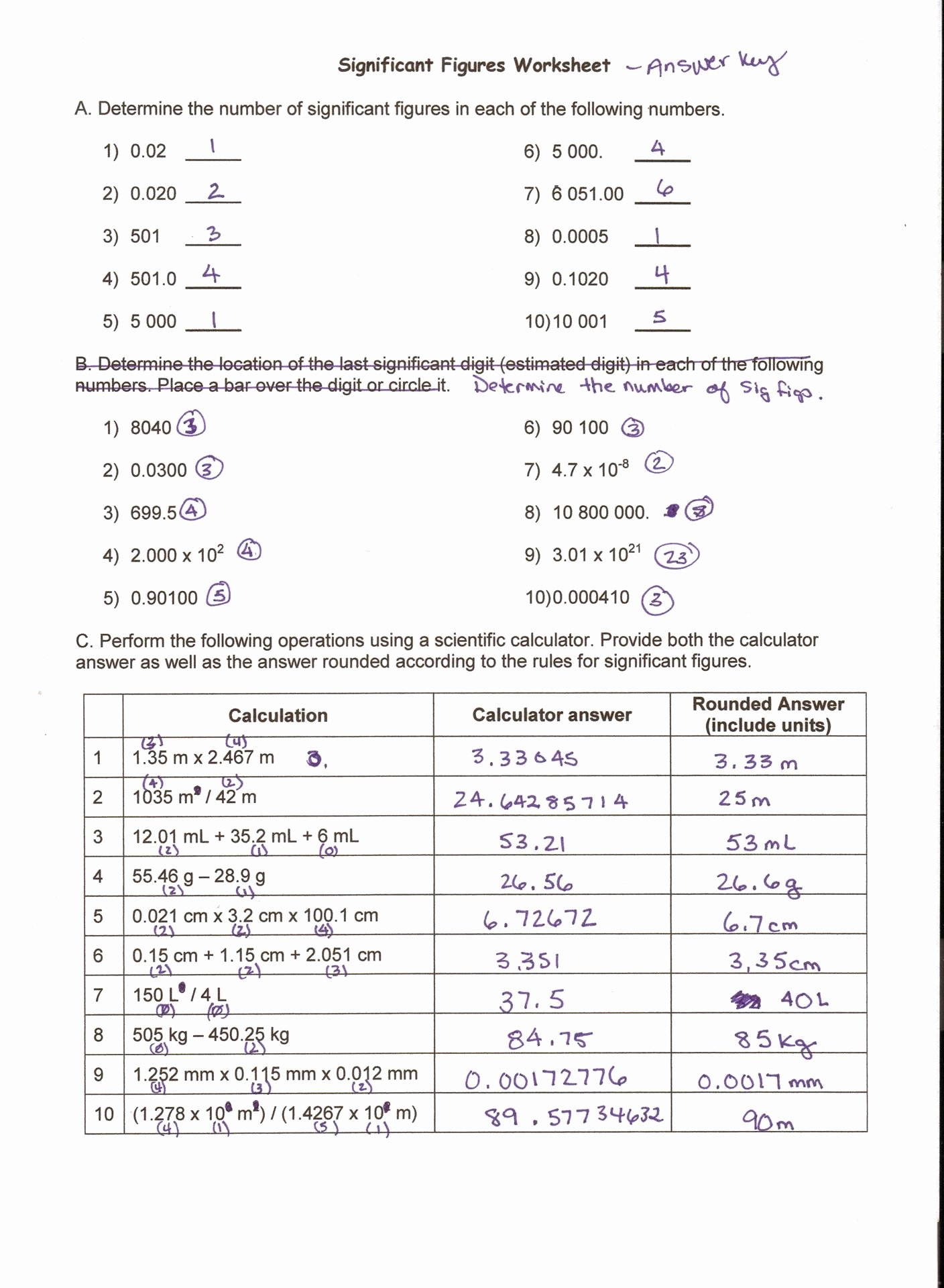
Counting Atoms Worksheet

Counting atoms is a fundamental skill in chemistry that allows us to understand the composition of substances and predict how they will interact with each other. One of the most effective ways to practice this skill is through the use of worksheets that provide students with various chemical formulas to analyze and determine the number of atoms present in each element.

Counting atoms worksheets are valuable tools for both students and teachers as they help reinforce the concept of atomic structure and strengthen problem-solving skills in chemistry. These worksheets are designed to challenge students to think critically and apply their knowledge of the periodic table to accurately count the number of atoms in a given compound.

50 Counting Atoms Worksheet Answer Key50 Counting Atoms Worksheet Answer Key (chessmuseum.org)

Counting Atoms Worksheet

When working on a counting atoms worksheet, students are presented with chemical formulas such as H2O, CO2, or NaCl, and are asked to identify the elements present and determine the number of atoms of each element. By practicing with different compounds, students can improve their understanding of chemical bonding and learn how to calculate the total number of atoms in a molecule.

These worksheets often include a variety of questions ranging from simple to complex, allowing students to gradually build their skills and confidence in counting atoms. Additionally, teachers can use these worksheets as assessments to gauge students’ understanding of the topic and provide targeted feedback to help them improve.

Counting atoms worksheets are also beneficial for reinforcing mathematical skills such as multiplication and addition, as students must accurately calculate the total number of atoms in a compound. By practicing with these worksheets, students can develop a deeper understanding of the relationships between elements in a molecule and enhance their problem-solving abilities in chemistry.

In conclusion, counting atoms worksheets are essential tools for mastering the skill of counting atoms and understanding the composition of chemical compounds. By regularly practicing with these worksheets, students can strengthen their knowledge of atomic structure, improve their problem-solving skills, and enhance their overall proficiency in chemistry.


Download and Print Counting Atoms Worksheet Listed below

Counting Atoms Worksheet Answer Key Education Template Counting Atoms Worksheet Answer Key Education Template (www.countingworksheets.com)

Counting Atoms Worksheet Live Worksheets Worksheets LibraryCounting Atoms Worksheet Live Worksheets Worksheets Library (worksheets.clipart-library.com)

Counting Atoms In A Formula Worksheet Live Worksheets Worksheets Counting Atoms In A Formula Worksheet Live Worksheets Worksheets (worksheets.clipart-library.com)

Counting Atoms Worksheet Answers CountingWorksheetsCounting Atoms Worksheet Answers CountingWorksheets (www.countingworksheets.com)

Counting Atoms Sheet Worksheet Worksheets LibraryCounting Atoms Sheet Worksheet Worksheets Library (worksheets.clipart-library.com)

Counting Atoms Worksheet

Printable templates are the ideal choice for anyone looking to stay organized, boost productivity, and inject personality to their work. They’re incredibly customizable and can serve a variety of needs whether you’re planning your week, celebrating a special occasion, or managing a project. With their neat layouts and versatile layouts, these printables help turn daily routines into something more fun and far more productive. No matter what you’re working on, there’s a template out there that can make it easier, more efficient, and tailored to you.

Our goal is to help simplify your daily routine and a lot more visually pleasing—one page at a time. From simple, elegant planners to fun and functional designs, we’re constantly working on new ideas to accommodate different styles. So why not dive into the options and let the right template bring clarity, inspiration, and control into your day?

Thank you for visiting our Counting Atoms Worksheet. Whether you’re structuring your day-to-day tasks, planning a special event, or just seeking inspiring resources to execute your plans, we hope our templates have offered the support you need.

Be sure to bookmark this page or subscribe to our newsletter so you never miss a latest template. And if you have feedback or template ideas you’d love to see, we’d be thrilled to hear from you! Until next time, happy printing and may your days be well planned and gracefully managed.