Division Question

Division can be a tricky concept to grasp, especially for young learners. However, with the right approach and practice, anyone can master division. In this article, we will explore division questions and how to solve them effectively.

Whether you’re a student looking to improve your math skills or a parent helping your child with homework, understanding division is essential. By breaking down division questions into manageable steps, you can tackle even the most challenging problems with confidence.

Long Division Worksheets Grade 5 With Answers Long Division WorksheetsLong Division Worksheets Grade 5 With Answers Long Division Worksheets

Division Question

When faced with a division question, it’s important to first understand the basics. Division is the process of dividing a number into equal parts. For example, if you have 12 cookies and want to share them equally among 4 friends, each friend would get 3 cookies.

To solve division questions, you can use different methods such as long division, short division, or even mental math. The key is to find the most efficient method that works for you and practice regularly to improve your skills.

One helpful tip for tackling division questions is to check your answers by multiplying the quotient (the result of the division) by the divisor (the number you divided by). If the product matches the dividend (the original number), then you have solved the question correctly.

Remember, practice makes perfect when it comes to division questions. The more you practice, the more comfortable and confident you will become in solving division problems. Don’t be afraid to ask for help if you get stuck, and keep challenging yourself with new and complex division questions to continue learning and growing.

In conclusion, division questions may seem daunting at first, but with patience and perseverance, anyone can become a division pro. By breaking down problems, using different methods, and practicing regularly, you can improve your division skills and tackle any question with ease. So, don’t be discouraged – keep practicing and you’ll soon be a division whiz!

Download and Print Division Question Listed below

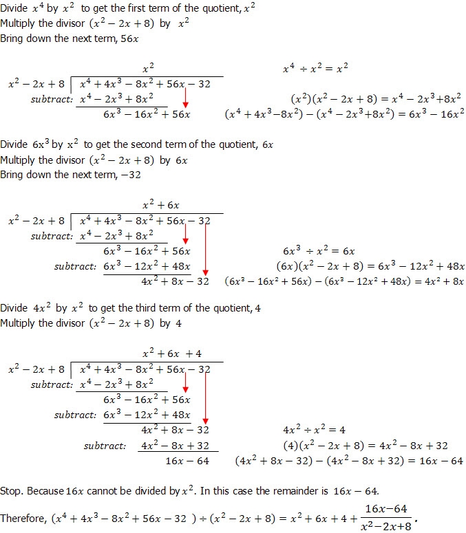
Algebraic Long Division Question 6 With Fully Worked SolutionAlgebraic Long Division Question 6 With Fully Worked Solution

Long Division Word Problems Worksheets Long Division WorksheetsLong Division Word Problems Worksheets Long Division Worksheets

Long Division Worksheet Answer Key Long Division WorksheetsLong Division Worksheet Answer Key Long Division Worksheets

Division QuestionDivision Question

Division Question

A worksheet is a practical tool that enhances learning in a structured and interactive way. Whether you’re a student, worksheets can offer clear guidance and hands-on practice for a variety of topics.

In educational environments, educators rely on worksheets to reinforce lessons. These instructional tools can cover subjects such as math, reading, grammar, and science. For example, a math worksheet may contain problem-solving tasks to help students understand basic concepts.

Division Question are also widely used in homeschooling, allowing parents to guide practice. With just a few clicks, free printable worksheets are available for all ages and subjects—making learning fun anytime, anywhere.

In the digital world, Division Question aren’t just paper-based. Many are now interactive PDFs or Google Sheets, allowing students and professionals to complete tasks online. This flexibility makes worksheets useful not only in education but also in project planning, where data tracking and goal setting often require clear formats.

Final Thoughts
Printable worksheets remain a reliable learning tool for students, educators, and parents alike. With their structured layout, they make studying more focused and enjoyable. Whether printed or digital, a worksheet can turn learning into an active and productive experience.