Factoring Polynomials Worksheet

Factoring polynomials is an essential skill in algebra that helps simplify expressions and solve equations. It involves breaking down a polynomial into its factors, which are the numbers or expressions that multiply together to give the original polynomial. Factoring polynomials can be challenging for students, so practicing with worksheets can help reinforce the concepts and improve understanding.

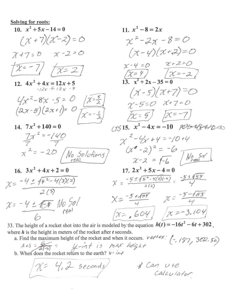
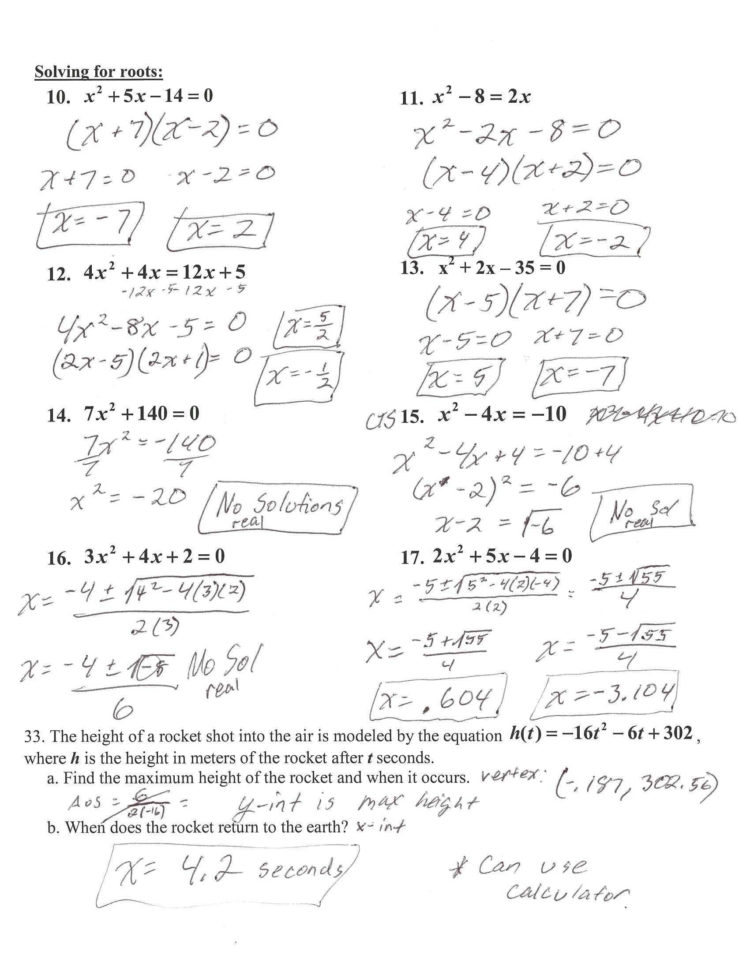
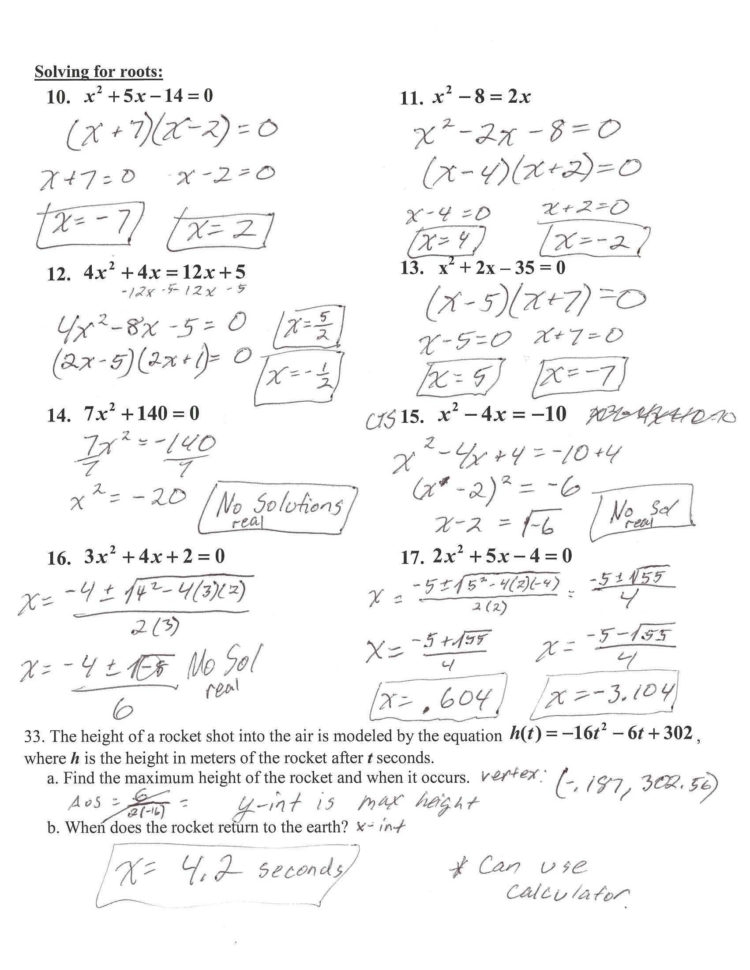
A Factoring Polynomials Worksheet typically contains a variety of problems that require students to factor different types of polynomials. These problems may involve factoring out the greatest common factor, factoring trinomials, factoring by grouping, and factoring special cases such as the difference of squares or perfect squares.

Factoring Polynomials Worksheet AnswersFactoring Polynomials Worksheet Answers (www.abhayjere.com)

Benefits of Factoring Polynomials Worksheet

Working on a Factoring Polynomials Worksheet allows students to practice factoring techniques and gain confidence in their abilities. It helps them develop problem-solving skills, strengthen their understanding of algebraic concepts, and improve their ability to recognize patterns in polynomial expressions. By completing a worksheet, students can also identify areas where they may need additional practice or support.

Furthermore, factoring polynomials is a fundamental skill that is used in various areas of mathematics, including solving quadratic equations, simplifying rational expressions, and graphing polynomial functions. Mastering factoring techniques through worksheets can provide a solid foundation for more advanced math topics and help students succeed in their studies.

Additionally, Factoring Polynomials Worksheets can be used by teachers as homework assignments, in-class practice, or assessment tools to gauge student understanding and progress. They can also be used for self-study by students who want to improve their factoring skills outside of the classroom.

In conclusion, Factoring Polynomials Worksheets are valuable resources for students to practice and master the skill of factoring polynomials. By working through a variety of problems and applying different factoring techniques, students can enhance their problem-solving abilities and build a strong foundation in algebra. Whether used in the classroom or for independent study, Factoring Polynomials Worksheets play a crucial role in helping students achieve success in mathematics.

Download and Print Factoring Polynomials Worksheet Listed below

50 Factoring Polynomials By Grouping Worksheet50 Factoring Polynomials By Grouping Worksheet (chessmuseum.org)

50 Factoring Polynomials By Grouping Worksheet50 Factoring Polynomials By Grouping Worksheet (chessmuseum.org)

50 Factoring Polynomials By Grouping Worksheet50 Factoring Polynomials By Grouping Worksheet (chessmuseum.org)

Factoring Polynomials Worksheet 650841 Factoring Polynomials Db excelFactoring Polynomials Worksheet 650841 Factoring Polynomials Db Excel (db-excel.com)

M8 factoring Polynomials Worksheet Live Worksheets Worksheets LibraryM8 Factoring Polynomials Worksheet Live Worksheets Worksheets Library (worksheets.clipart-library.com)

Factoring Polynomials Worksheet

Print-ready designs are the perfect solution for anyone aiming to stay on track, boost productivity, and add a personal flair to their work. They’re super easy to customize and can fit just about any purpose whether you’re mapping out your days, celebrating a special occasion, or managing a project. With their neat layouts and flexible formats, these documents help turn everyday tasks into something a little more enjoyable and significantly easier. No matter what you’re working on, there’s a template out there that can make it simpler, more efficient, and more personalized.

Our goal is to help simplify your daily routine and a lot more beautiful—one page at a time. From minimalist planners to colorful and practical formats, we’re constantly working on new ideas to accommodate different styles. So why not discover what’s available and let the right template bring clarity, creativity, and structure into your day?

We appreciate your visit to our Factoring Polynomials Worksheet. Whether you’re structuring your day-to-day tasks, preparing for a celebration, or just seeking inspiring resources to bring your ideas to life, we hope our templates have provided the inspiration you need.

Be sure to bookmark this page or sign up for updates so you never miss a latest template. And if you have suggestions or requests for templates you’d love to see, we’d be thrilled to hear from you! Until next time, enjoy your prints and may your days be beautifully structured and gracefully managed.