Literal Equations Worksheet

Literal equations can be a challenging topic for students to grasp, as they involve manipulating equations with multiple variables. One way to help students understand and practice solving literal equations is through the use of worksheets. These worksheets provide a structured format for students to work through various types of literal equations, building their skills and confidence in the process.

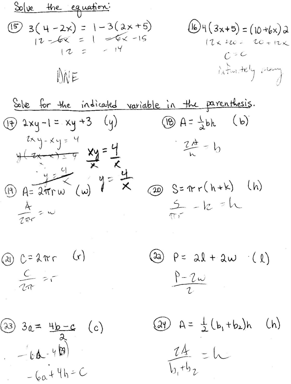
Literal equations are equations that contain more than one variable. They are often used in real-world applications and can be solved for a specific variable in terms of the others. By isolating a particular variable in the equation, students can find its value in relation to the other variables. Literal equations worksheets typically include a variety of problems that require students to rearrange the equation to solve for a specific variable.

Worksheet Solving Literal Equations Worksheet Literal Db excelWorksheet Solving Literal Equations Worksheet Literal Db Excel (db-excel.com)

One type of problem commonly found on literal equations worksheets is solving for a specific variable. Students may be given an equation such as 3x + 2y = 12 and asked to solve for y in terms of x. By isolating y on one side of the equation, students can find the value of y in relation to x. This type of problem helps students practice manipulating equations and understanding the relationships between variables.

Another type of problem that students may encounter on literal equations worksheets is solving for a variable in terms of other variables. For example, students may be asked to solve for x in the equation a = bx + c. By rearranging the equation and isolating x, students can find the value of x in terms of a, b, and c. This type of problem requires students to think critically and apply algebraic concepts to solve for the desired variable.

Literal equations worksheets are a valuable tool for helping students practice and master the skills needed to solve equations with multiple variables. By providing structured practice problems and step-by-step solutions, these worksheets can help students build their confidence and proficiency in solving literal equations. Whether used in the classroom or for independent study, literal equations worksheets can be an effective resource for reinforcing algebraic concepts and problem-solving skills.

In conclusion, literal equations worksheets are a valuable resource for students learning to solve equations with multiple variables. By providing structured practice problems and opportunities to manipulate equations, these worksheets can help students build their algebraic skills and confidence. Incorporating literal equations worksheets into the curriculum can enhance students’ understanding of algebraic concepts and prepare them for more advanced mathematical topics.


Download and Print Literal Equations Worksheet Listed below

Literal Equations Worksheet Pdf Equations WorksheetsLiteral Equations Worksheet Pdf Equations Worksheets (www.equationsworksheets.net)

Literal Equations Notes And Worksheets Lindsay Bowden Worksheets Literal Equations Notes And Worksheets Lindsay Bowden Worksheets (worksheets.clipart-library.com)

Literal Equations Worksheet AnswersLiteral Equations Worksheet Answers (wordworksheet.com)

Solving Literal Equations WorksheetsSolving Literal Equations Worksheets (worksheetzone.org)

Free Printable Solving Literal Equations Worksheets Worksheets LibraryFree Printable Solving Literal Equations Worksheets Worksheets Library (worksheets.clipart-library.com)

Literal Equations Worksheet

Printable templates are the perfect solution for anyone trying to maintain order, save time, and add a personal flair to their work. They’re incredibly customizable and can serve a variety of needs whether you’re mapping out your days, hosting an event, or coordinating work. With their neat layouts and adaptable styles, these printables help turn daily routines into something more fun and a lot more efficient. No matter what you’re working on, there’s a template out there that can make it simpler, smarter, and more personalized.

Our goal is to help simplify your daily routine and a lot more beautiful—one page at a time. From minimalist planners to colorful and practical formats, we’re constantly creating new templates to suit a wide range of needs. So why not discover what’s available and let the right template offer focus, creativity, and structure into your day?

We appreciate your visit to our Literal Equations Worksheet. Whether you’re structuring your day-to-day tasks, preparing for a celebration, or just seeking inspiring resources to execute your plans, we hope our templates have offered the support you need.

Don’t forget to save this site or sign up for updates so you never miss a new release. And if you have feedback or requests for templates you’d love to see, we’d be eager to hear from you! Until next time, enjoy your prints and may your days be well planned and beautifully organized.