Exponents And Powers Class 8 Worksheet

Understanding exponents and powers is an important concept in mathematics. It helps us simplify complex calculations and solve problems efficiently. In Class 8, students are introduced to exponents and powers through worksheets that reinforce their understanding of these concepts.

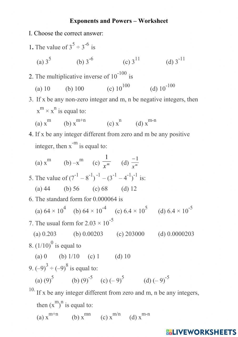
Exponents represent how many times a number is multiplied by itself. For example, 2^3 means 2 multiplied by itself 3 times, resulting in 2 x 2 x 2 = 8. Powers, on the other hand, are the numbers that are raised to a certain exponent. Worksheets on exponents and powers help students practice different problems and enhance their skills.

Class 8 Exponents And Powers Worksheet Worksheets LibraryClass 8 Exponents And Powers Worksheet Worksheets Library

Exponents And Powers Class 8 Worksheet

These worksheets typically include various types of questions such as evaluating expressions with exponents, simplifying powers, and solving problems involving exponents. Students are required to apply the rules of exponents, understand the properties of powers, and perform calculations accurately.

By practicing exponents and powers worksheets, students can improve their problem-solving abilities, enhance their mathematical reasoning skills, and build a strong foundation for more advanced topics in algebra and calculus. These worksheets also help students develop their critical thinking and analytical skills, preparing them for future academic challenges.

Teachers can use these worksheets as a tool to assess students’ understanding of exponents and powers, identify areas where students may need additional support, and tailor their instructional strategies accordingly. By providing students with ample opportunities to practice with these worksheets, teachers can help them master the concepts and excel in mathematics.

In conclusion, exponents and powers worksheets for Class 8 are valuable resources that aid in reinforcing students’ comprehension of these fundamental mathematical concepts. By engaging with these worksheets, students can enhance their problem-solving abilities, critical thinking skills, and overall mathematical proficiency, setting a strong foundation for their academic success.

Download and Print Exponents And Powers Class 8 Worksheet Listed below

301 Moved Permanently Worksheets Library301 Moved Permanently Worksheets Library

Exponents Powers Laws Of Exponents Worksheet Live Worksheets Exponents Powers Laws Of Exponents Worksheet Live Worksheets

Worksheets For Class 7 Exponents And Powers Chapter 13 Worksheets For Class 7 Exponents And Powers Chapter 13

Multiplying Rational Expressions Worksheet 8th Math Cbse Exponents And Multiplying Rational Expressions Worksheet 8th Math Cbse Exponents And

Exponents And Powers Class 8 Worksheet

An educational worksheet is an essential resource that helps support learning in a structured and easy-to-follow way. Whether you’re a teacher, worksheets can provide clear guidance and hands-on practice for a variety of topics.

In schools, instructors assign worksheets to deepen lessons. These instructional tools can cover subjects such as math, reading, grammar, and science. For example, a math worksheet may contain step-by-step exercises to help students master basic concepts.

Exponents And Powers Class 8 Worksheet are also commonly applied in home learning, allowing parents to track progress. With online resources, free printable worksheets are available for all ages and subjects—making learning accessible anytime, anywhere.

In the digital world, Exponents And Powers Class 8 Worksheet aren’t just paper-based. Many are now interactive PDFs or Google Sheets, allowing students and professionals to work online. This flexibility makes worksheets useful not only in education but also in business settings, where data tracking and goal setting often require clear formats.

In Summary
Worksheets remain a go-to learning tool for students, educators, and parents alike. With their simple format, they make studying more focused and enjoyable. Whether printed or digital, a worksheet can turn learning into an active and productive experience.